Двигательный режим. Для вывода уравнения механической характеристики асинхронного двигателя воспользуемся зависимостью между его электромагнитной мощностью Рм, передаваемой со статора на ротор вращающимся магнитным полем, механической мощностью Рмех и потерями в обмотке ротора рм2:
где М — электромагнитный момент, Н*м;
w1 — угловая скорость магнитного поля, рад/с; f1 — частота тока статора, Гц; р — число пар полюсов; w2 — угловая скорость ротора, рад/с; m1 — число фаз обмотки статора; r2' — приведенное значение активного сопротивления обмотки ротора, Ом; I2' — приведенное значение тока ротора, А.
Из последнего выражения после несложных преобразование получим:
где s — скольжение.
Используя схему замещения асинхронного двигателя (рис. 1) выразим ток I2' через фазное напряжение U1 и сопротивления его обмоток:
Подставив в выражение значение I2', получим зависимость момента двигателя от его параметров r1, r2', x1, x2' напряжения, частоты и скольжения:
Рис. 1. Упрощенная схема замещения асинхронного двигателя: r1, x1 — активное и индуктивное сопротивления обмотки статора; r2', x2' — то же (приведенные значения), обмотки ротора; r0, х0 — то же, ветви намагничивания
При изменении скольжения момент асинхронной машины, изменяясь дважды, достигает максимума — в двигательном и генераторном режимах. Считая напряжение, частоту и параметры двигателя постоянными, взяв производную dM/ds и приравняв ее к нулю, найдем величину так называемого критического скольжения sк, при котором момент достигает максимума,
Подставив в выражение вместо s критическое скольжение, получим формулу для определения максимального момента асинхронной машины:
Здесь знак «плюс» относится к двигательному режиму, знак «минус» — к генераторному. Как видно из формулы, максимальный момент прямо пропорционален квадрату напряжения, не зависит от активного сопротивления цепи ротора и в генераторном режиме больше, чем в двигательном.
Получим уравнение механической характеристики асинхронного двигателя в виде:
У двигателей средней и большой мощности часто пренебрегали активным сопротивлением обмотки статора, полагая r1 = 0.
Рис. 2. Механические характеристики асинхронного двигателя: а — при U1 = const и различных значениях rдоб (rдоб2 >= rдоб1); б — при r2' = const и различных значениях U1 (U1н > U1' > U1'' > U1''')
Выражение в этом случае упрощается и принимает вид:
критическое скольжение при этом будет:
Положив в выражениях моментов s = 1, получим величину пускового момента.
Для ограничения пусковых токов в цепь ротора вводят резисторы, либо снижают напряжение на выводах обмотки статора. На рис. 2 показаны естественная 1 и искусственные 2, 3, 4 механические характеристики при различных величинах сопротивления резисторов в цепи ротора (рис. 2, a, U = const) и различных напряжениях на обмотке статора (рис. 2, б, r2' = const).
В первом случае при введении резисторов в цепь ротора наибольший момент двигателя остается неизменным, критическое скольжение возрастает, жесткость механических характеристик уменьшается. Пусковой момент в определенных пределах увеличивается. Во втором случае с уменьшением напряжения наибольший и пусковой моменты уменьшаются, критическое скольжение остается неизменным; механические характеристики становятся более мягкими
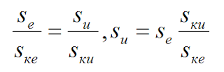
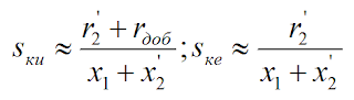
Искусственные механические характеристики, при различных значениях сопротивления резисторов в цепи ротора, можно построить, воспользовавшись следующим методом. Обозначив через sе и sи скольжение двигателя при работе на естественной и искусственной характеристиках с одинаковым моментом Mс (рис. 2, а), можно записать:
Последнее равенство справедливо при условии:
Подставляя вместо sке и sки их значения:
получим:
Для построения искусственных механических характеристик необходимо иметь естественную характеристику и знать величину r2'. Задаваясь значениями sе, на естественной механической характеристике определяют соответствующие им значения скольжений на искусственной характеристике.
Пусковые резисторы в цепи ротора можно рассчитать, используя графический метод, сущность которого поясняет рис. 3.
Задаются моментом включения М1, моментом переключения М2 и проводят вертикали ad и a1d1. Через точки с и c1 проводят прямую до пересечения с горизонталью dd1 в точке N.
Дальнейшие графические построения выполняются так же, как и при расчете пусковых резисторов двигателя независимого возбуждения. Отрезки аb и bс пропорциональны величине сопротивлений первой и второй ступени соответственно. Отрезок cd пропорционален сопротивлению обмотки ротора r2. В соответствии с этим величина сопротивлений отдельных ступеней пусковых резисторов определяется из равенства вида: rI = r2ab/cd — для первой ступени; rII = r2bc/cd — для второй ступени и т. д.
Выражения механической характеристики получены, исходя из предположения, что параметры двигателя, т. е. его активные и индуктивные сопротивления, постоянны. Это допущение не приводит к большим погрешностям для асинхронных двигателей с фазным ротором.
Параметры же асинхронных двигателей с короткозамкнутым ротором в процессе работы изменяются значительно. Поэтому их механические характеристики обычно задают графически, либо строят с использованием более сложных схем замещения.
Регулирование частоты вращения (угловой скорости) асинхронных двигателей, как это видно из выражения:
может быть осуществлено изменением: скольжения двигателя s; числа пар полюсов обмотки статора р; частоты сети f1.
Рис. 3. К расчету пусковых резисторов синхронного двигателя с фазным ротором
Изменение скольжения двигателя s осуществляют, вводя резисторы в цепь ротора, либо изменяя величину напряжения на выводах обмотки статора.
Регулирование частоты вращения введением резисторов в цепь ротора осуществляется ступенчато вниз от номинальной. Диапазон регулирования невелик, до 3:1, и зависит от характера и величины момента сопротивления на валу двигателя (см. рис. 2, а). Регулирование осуществляется просто. Стоимость оборудования сравнительно невысока. Способ находит применение в приводах грузоподъемных механизмов, работающих в повторно-кратковременном режиме.
Изменение напряжения на выводах обмотки статора может быть осуществлено разными путями. На рис. 4, а показана принципиальная схема электропривода с фазовым управлением асинхронным двигателем.
Изменение напряжения на статоре осуществляется регулированием угла а — угла открытия тиристоров включенных встречно-параллельно в каждую обмотку фазы статора. Увеличение а приводит к уменьшению напряжения на статоре и снижению наибольшего момента двигателя.
Применение обратной связи по частоте вращения обеспечивает необходимую жесткость механических характеристик. В рассматриваемой схеме угол а прямо пропорционален напряжению на входе управляющего устройства Uу. Последнее, в свою очередь, определяется величиной напряжения (Uтг — Uср,) на входе усилителя У. При возрастании нагрузки на валу двигателя частота вращения падает, напряжение тахогенератора снижается. Разница между Uтг и напряжением сравнения Uср, снимаемым с потенциометра, уменьшается, уменьшаются напряжение Uу и угол а.
Рис. 4. Принципиальная схема (а) и механические характеристики (б) тиристорного электропривода с фазовым управлением асинхронным двигателем (а1>а2>а3>а4)
Напряжение на выводах обмотки статора двигателя и его наибольший момент возрастают. Так, при изменении момента сопротивления от Mа1 до Мb1 (рис. 4, б) угол а уменьшается от а1 до а4 = ф (ф — фазовый угол между напряжением и током статора). Угловая скорость двигателя изменяется при этом в соответствии с механической характеристикой а1b1.
Регулирование частоты вращения двигателя осуществляется плавно, изменением Uср. Уменьшение Ucp приводит к снижению угловой скорости двигателя (характеристики а2b2, а3b3 на рис. 4,a). Диапазон регулирования 1:20.
Регулирование частоты вращения асинхронных двигателей изменением скольжения неэкономично, так как потери в роторе при этом прямо пропорциональны скольжению. Данный способ используется в тех случаях, когда продолжительность работы двигателя на пониженных частотах вращения невелика.
Изменение числа пар полюсов обмотки статора можно осуществить, укладывая несколько (не более трех) отдельных обмоток, каждая из которых выполнена на свое число пар полюсов, либо изменяя схему соединения частей одной и той же обмотки.
Имеется большое разнообразие схем переключения обмотки статора. На рис. 5 показаны схемы, позволяющие изменить число полюсов в два раза. Обмотка каждой фазы разделяется на две части. При последовательном соединении этих частей направление тока в них одинаково; при параллельном — направление тока в одной части каждой обмотки изменяется, что приводит к уменьшению числа полюсов в два раза к соответственному увеличению угловой скорости w1.
Рис. 5. Схемы переключения обмотки статора со звезды на двойную звезду (а) с треугольника на двойную звезду (б) и соответствующие им механические характеристики
Пренебрегая условиями охлаждения, можно получить приближенное выражение для электромагнитной мощности асинхронного двигателя при его работе с одинаковым током ротора и различным числом пар полюсов:
где с — при неизменной частоте цепи величина постоянная; U1 — фазное напряжение; W1 — число витков обмотки фазы, соединенных последовательно.
Переключение частей обмотки с последовательного на параллельное соединение приводит к уменьшению W1 в два раза. Величина U1 зависит от схемы соединения обмоток фаз. При переключении со звезды на двойную звезду (рис. 5, а) число пар полюсов и W1 уменьшается в два раза, U1 остается неизменным.
Как видно из последнего выражения, увеличение угловой скорости в два раза в этом случае приводит к увеличению электромагнитной мощности также в два раза. Таким образом, при переключении обмотки статора по схеме рис. 5, а двигатель работает на обеих частотах вращения с постоянным моментом (режим М = const). При переключении с треугольника на двойную звезду (рис. 5, б) число полюсов и W1 уменьшается в два раза, U1 уменьшается в корень из 3.
Электромагнитная мощность в этом случае на обеих частотах вращения будет примерно постоянной (режим Р = const).
Регулирование угловой скорости изменением числа пар полюсов осуществляется ступенчато. Число ступеней не превышает четырех, а диапазон регулирования 8:1. Способ экономичен и находит широкое применение как в судовом электроприводе, так и в береговых установках.
Изменение частоты цепи f1 позволяет угловую скорость асинхронного двигателя регулировать как вверх, так и вниз от номинальной. Так как величина магнитного потока определяется отношением U1/f1, то вместе с изменением f1 необходимо изменять и напряжение. Величина отношения U1/f1 при разных значениях нагрузки на валу двигателя оказывает существенное влияние на его рабочие свойства и вид механических характеристик.
Если пренебречь активным сопротивлением обмотки статора, то выражение для наибольшего момента асинхронного двигателя можно представить в виде:
Так как индуктивные сопротивления x1 и х2' пропорциональны f1, можно записать:
Из этого выражения видно, что наибольший момент двигателя определяется величиной отношения U1/f1 и при U1/f1 = const он будет неизменным. Однако при частотах ниже половины номинальной начинает сказываться влияние падения напряжения на активном сопротивлении статора, что приводит к уменьшению магнитного потока и наибольшего момента двигателя, особенно значительному при низких частотах. Для устранения этого явления по мере снижения частоты величину отношения U1/f1 следует увеличивать. На рис. 6, а, б, в показаны механические характеристики асинхронного двигателя при различных соотношениях между U1 и f1.
При питании асинхронного двигателя от цепи с f1 = const и U1 = const для осуществления частотного регулирования необходим преобразователь — электромашинный, ионный или полупроводниковый. Главным элементом электромашинного преобразователя частоты является синхронный генератор, либо асинхронная машина с фазным ротором, вращаемые двигателем постоянного тока. В свою очередь, для регулирования частоты вращений последнего используется система генератор — двигатель. Электромашинные преобразователи громоздки, дорогостоящи и имеют низкий к. п. д. Все это ограничивает их применение.
Рис. 6. Механические характеристики асинхронного двигателя: а — при регулировании частоты f1 и U1 = const; б — при U1/f1 = const; в — при регулировании с компенсацией падения напряжения на активном сопротивлении обмотки статора (f1>f2>f3>f
Ионные преобразователи частоты имеют малую надежность и непригодны для электроприводов. Наиболее перспективны преобразователи частоты с использованием полупроводниковых приборов, тиристоров. Основными элементами такого преобразователя являются тиристорные выпрямитель, инвертор и система управления.
Выпрямитель преобразует переменный ток цепи с неизменными напряжением и частотой в постоянный. Инвертор преобразует постоянный ток в переменный с заданной регулируемой частотой и напряжением. Частота регулируется вверх и вниз от номинальной, плавно и в широком диапазоне. Система управления обеспечивает при этом необходимую величину отношения U1/f1.
Частотное регулирование угловой скорости с использованием тиристорных преобразователей экономично, осуществляется плавно и в широком диапазоне — до 1000 : 1 и выше.
Тормозные режимы асинхронных двигателей более разнообразны, чем у двигателей постоянного тока. Однако наиболее распространенными являются: генераторное торможение с отдачей энергии в сеть; торможение противовключением; динамическое торможение.
Генераторное торможение с отдачей энергии в цепь имеет место при w2 > w1(s<0). В приводах с многоскоростными двигателями при переключении с большей угловой скорости на меньшую, ротор некоторое время вращается с угловой скоростью w2, превышающей w1 (участок bcd механической характеристики 1, рис. 7, а). Асинхронная машина работает в генераторном режиме, развивая тормозной момент. Этот вид торможения имеет место и в приводах грузоподъемных механизмов при спуске груза с угловой скоростью двигателя (рис. 7, а, точка q, характеристика 2). Торможение экономично, но может быть использовано только при w2>w1.
Торможение противовключением — ротор вращается в сторону, противоположную вращению магнитного поля двигателя (s > l). Для осуществления этого режима изменяют направление вращения магнитного поля, для чего меняют местами выводы обмоток двух фаз статора. За счет запаса кинетической энергии ротор некоторе время продолжает вращаться в прежнем направлении. Двигатель работает в режиме противовключения, развивая тормозной момент (участок ef характеристики 1, рис. 7, б).
Рис. 7. Механические характеристики асинхронного двигателя при генераторном торможении с отдачей энергии в сеть (а) и при торможении противовключением (б)
В грузоподъемных механизмах для осуществления тормозного спуска груза в режиме противовключения достаточно в цепь ротора ввести резисторы. Двигатель, будучи включенным на подъем, за счет действия груза начинает вращаться в сторону его спуска, переходит в режим противовключения, развивая тормозной момент (участок сd механической характеристики 2, рис. 7, б). Изменяя величину сопротивления резисторов, можно регулировать скорость спуска груза,
Рис. 8. Схемы соединений (а) и механические характеристики (б) асинхронного двигателя при динамическом торможении
При торможении противовключением асинхронный двигатель развивает большие тормозные моменты даже при w2 = 0. Несмотря на низкую экономичность, этот вид торможения находит широкое применение в реверсивных приводах.
Динамическое торможение — обмотка статора отключается от сети и подключается к источнику постоянного тока. Для соединения обмоток фаз статора при этом могут быть использованы различные схемы. Наиболее простые и распространенные из них показаны на рис. 8, а. При прохождении постоянного тока по обмотке статора создается неподвижное в пространстве магнитное поле, в котором вращается ротор. В обмотке ротора индуктируется э. д. с., величина и частота которой зависит от частоты вращения ротора.
В замкнутой цепи ротора появляется ток, который, взаимодействуя с неподвижным в пространстве магнитным полем, создает тормозной момент. Механические характеристики в режиме динамического торможения показаны на рис. 8, б. Увеличение постоянного тока в обмотке статора Iп приводит к росту наибольшего значения тормозного момента Мкдт (рис. 8, б, характеристика 2). При этом имеет место квадратичная зависимость между Мкдт и Iп,
Введение резисторов в цепь ротора вызывает смещение наибольшего тормозного момента в сторону больших угловых скоростей:
Величина Мкдт при этом не меняется (характеристика 3 рис. 8, б). При частоте вращения, равной нулю, тормозной момент равен нулю. Торможение достаточно экономично и широко применяется в нереверсивных приводах.





























Комментариев нет:
Отправить комментарий